首页
简介
学院概况
组织结构
历史沿革
学院领导
动态
学院新闻
通知公告
学术活动
媒体报道
党群
党建工作概况
党建动态
工会动态
团学组织
知识
教学
教学成果
教学动态
本科教育
研究生教育
科研
科研概况
科研动态
科研平台
科研团队
办事指南
交流
国际合作
地区合作
校企合作
建筑与城市联盟
人物
杰出人才
师资队伍
知名校友
博士后
诚聘英才
学生
学工概况
学生发展
学生竞赛
服务
联系我们
规章政策
资料下载
首页
学院概况
组织结构
历史沿革
学院领导
简介
学院新闻
通知公告
学术活动
媒体报道
动态
党建工作概况
党建动态
工会动态
团学组织
知识
党群
教学成果
教学动态
本科教育
研究生教育
教学
科研概况
科研动态
科研平台
科研团队
办事指南
科研
国际合作
地区合作
校企合作
建筑与城市联盟
交流
杰出人才
师资队伍
知名校友
博士后
诚聘英才
人物
学工概况
学生发展
学生竞赛
学生
联系我们
规章政策
资料下载
服务
搜索
首页
校园风光
学生活动
党建工作
公告
首页
>
公告
>
正文
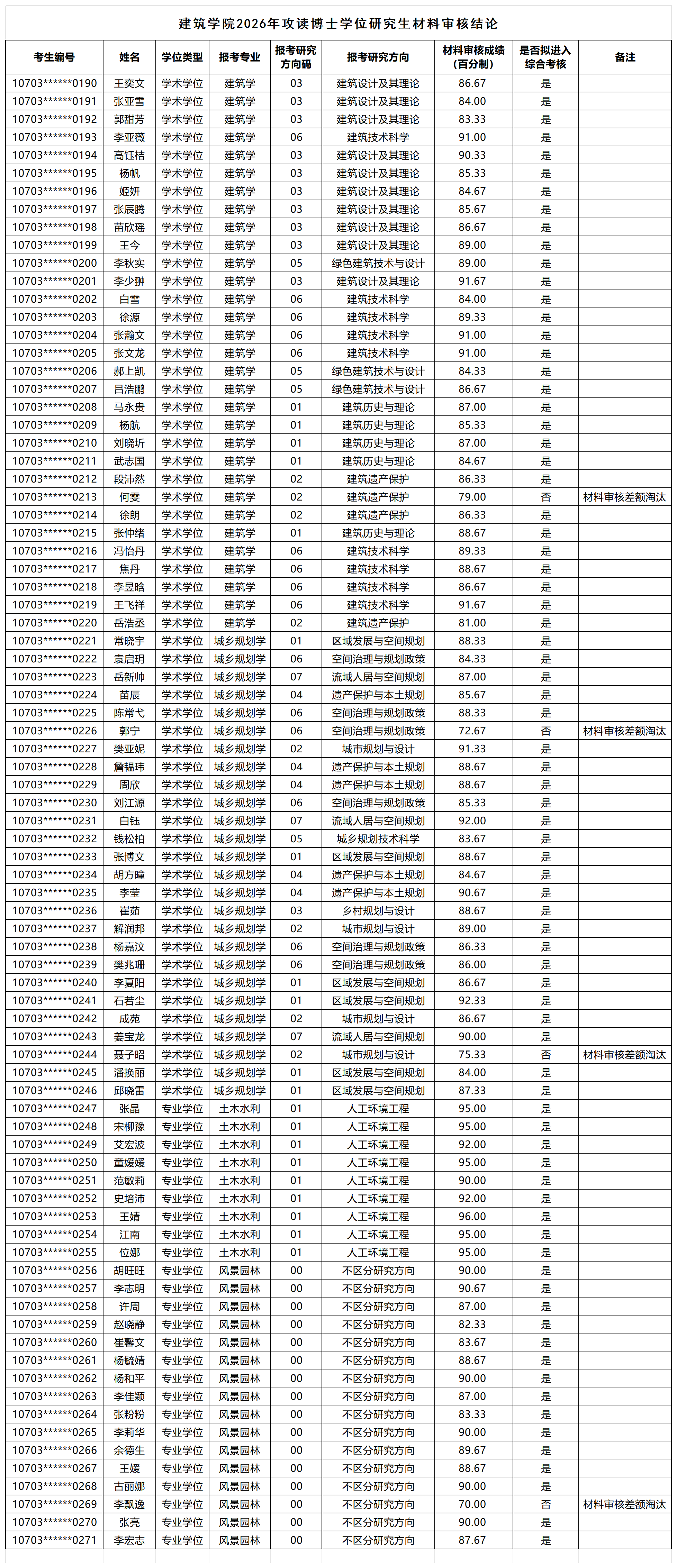
建筑学院2026年攻读博士学位研究生材料审核结论
发布时间:2026年04月21日
浏览:
上一篇:
论文征集 | 2026中国建筑学会学术年会征文通知
下一篇:
建筑学院2026年攻读博士学位研究生综合考核及录取工作实施细则